Act three: Getting Your Balance
Have you ever watched those wonderful videos of ballerinas holding very, very long balances, and wondered, how on earth do they do that? (PS: I can’t guarantee that you will immediately get that balance, but maybe The Fifth’s official tee that has Erina’s legs might help!)
Then, if you’re like me, do you go immediately into asking, could I ever do something like that, because just letting go of the barre in class is a struggle?
Like all matter in the universe, our bodies obey the laws of physics. So, let’s take a peek into the physics of balance, and see if we can take something out of it to help us.
If you take all the matter that composes your body and squish it into one tiny, tiny point, then that point would move in the same way as if your entire body was moving[1]. We call this point the ‘center of mass’[2].
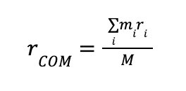
We can calculate where the center of mass is by
Where rCOM is the position of the center of mass, mi is the mass of each individual part, riis the position of each individual part, and M is the total mass[2].
This center of mass is not constant. It depends on the way that the matter in your body is distributed. If we’re standing straight with our arms by our side, then our center of mass is around the navel area. However, if we move our arms above our heads, this lets more of our mass be positioned upwards, and so our center of mass would also move upwards.
The human body is composed of many different kinds of matter with different mass and sizes, and so the center of mass will move differently if I move my arm rather than my leg, because the mass that is moving is different. This also means that depending on your unique body, where your center of mass is situated would be different than another’s, even if you are both standing in the same position.
Another thing that we need to consider to tackle this problem is torque[3]. Torque is the tendency of a force to turn an object. When you are pushing open a door, you are applying torque. When you are loosening a bolt with a wrench, you are applying torque.
How much torque there is also depends on how far away you are applying your force from the center of the rotation. You might have noticed that when you push the door as far away from the hinges, you need less force than if you push the same door very close to the hinges. The amount of torque that you are applying here is the same, but since the distance between where you are applying your force and the center of the rotation is different, you need a different amount of force. The distance between where you are applying your torque and the center of rotation is called the moment arm.
This relationship can be written in the form of an equation, which is
Where π is the magnitude of the torque, r is the length of the moment arm, F is the magnitude of the applied force and is the angle between the direction of the force and the moment arm[4]. If you are interested in the precise relationship between forces and torques, you can read about it here, but if not, don’t fret! We already know enough to explore balance.
Your center of mass also applies torque, sometimes. It is always being pulled down by gravity, but if it is directly on top of your support, there is no moment arm and so there is no torque. However, the moment your center of mass is away from your support, torque starts to appear. Have you ever fallen backwards in a first position relevé? That is because your center of mass is behind your support, and so the torque that it applies makes you rotate backwards.
To be in a balance is to have the total torque acting on you be zero. The simplest way to do this is to have no torque be present at all. The act of balancing is the act of getting your center of mass to be in line with your support, removing the moment arm, and therefore preventing any torque from being applied.
So, in summary, to be able to keep your balance, you need to know where your center of mass is, know where your support is, and get your center of mass on top of your support to prevent any torque from being applied. The theory sounds simple enough, but the practice—as we all know—can be a struggle. I know I am still figuring out the best way of doing this.
You got this though! Keep practicing, keep trying, and may no torque be upon you!
References
[1] Moebs W, Ling SJ, Sanny J, et al. 2023. Center of Mass. In University Physics, Volume 1. OpenStax. Available from: https://openstax.org/books/university-physics-volume-1/pages/9-6-center-of-mass . Accessed on September 18, 2023.
[2] Khan Academy. 2015. “What is the center of mass?”. Available from: https://www.khanacademy.org/science/physics/linear-momentum/center-of-mass/a/what-is-center-of-mass . Accessed on September 18, 2023
[3] Khan Academy. 2016. “Torque”. Available from: https://www.khanacademy.org/science/physics/torque-angular-momentum/torque-tutorial/a/torque . Accessed on September 18, 2023
[4] Moebs W, Ling SJ, Sanny J, et al. 2023. Torque. In University Physics, Volume 1. OpenStax. Available from: https://openstax.org/books/university-physics-volume-1/pages/10-6-torque . Accessed on September 18, 2023.